جدیدترین‌ها

خوش آمدید

با ثبت نام ، شما می توانید با سایر اعضای انجمن ما در مورد بحث کنید و همچنین تبادل نظر داشته‌باشید.

اکنون ثبت‌نام کنید!
  • هر گونه تشویق و ترغیب اعضا به متشنج کردن انجمن و اطلاع ندادن، بدون تذکر = حذف نام کاربری
  • از کاربران خواستاریم زین پس، از فرستادن هر گونه فایل با حجم بیش از 10MB خودداری کرده و در صورتی که فایل‌هایی بیش از این حجم را قبلا ارسال کرده‌اند حذف کنند.

آموزشی فصل سه - شیمی دهم - خلاصه نکات

اطلاعات موضوع

درباره موضوع به تاریخ, موضوعی در دسته متوسطه دوم توسط -pariya- با نام فصل سه - شیمی دهم - خلاصه نکات ایجاد شده است. این موضوع تا کنون 906 بازدید, 20 پاسخ و 0 بار واکنش داشته است
نام دسته متوسطه دوم
نام موضوع فصل سه - شیمی دهم - خلاصه نکات
نویسنده موضوع -pariya-
تاریخ شروع
پاسخ‌ها
بازدیدها
اولین پسند نوشته
آخرین ارسال توسط -pariya-
موضوع نویسنده

-pariya-

سطح
6
 
[ مدیر ارشد بخش علوم و فناوری ]
پرسنل مدیریت
مدیر ارشد
مدیر تالار رمان
میکسر انجمن
مترجم ارشد انجمن
آموزگار انجمن
عضو تیم تعیین سطح ادبیات
Jul
27,305
58,490
مدال‌ها
11
ایستگاه محاسبات:

نکته: انحلال پذیری نمک ها به نوع آن ها و دما بستگی دارد، ولی تاثیر دما بر مقدار انحلال پذیری آن ها یکسان نیست. نموداری که اثر دما بر انحلال پذیری یک ماده را نشان می دهد، نمودار انحلال پذیری _ دما گویند.

14000703P476o9f143.jfif
 
موضوع نویسنده

-pariya-

سطح
6
 
[ مدیر ارشد بخش علوم و فناوری ]
پرسنل مدیریت
مدیر ارشد
مدیر تالار رمان
میکسر انجمن
مترجم ارشد انجمن
آموزگار انجمن
عضو تیم تعیین سطح ادبیات
Jul
27,305
58,490
مدال‌ها
11
نکته: در این نمودار، نقاط روی منحنی نشان دهنده محلول سیر شده، نقاط زیر منحنی نشان دهنده محلول سیر نشده و نقاط بالای منحنی نشان دهنده محلول فراسیر شده است.

نکته: به طور کلی هر چه شیب نمودار یک ماده بیشتر باشد، تاثیر دما بر انحلال پذیری آن بیشتر است. به عنوان مثال در نمودار روبرو انحلال پذیری KNO3 بیش تر از KCl است.

* در این قسمت با مسائلی سر و کار دارید که مبنای نمودار انحلال پذیری دما می باشد و در آن ها ممکن است مقدار جرم حل شونده، جرم حلال یا جرم رسوب ته نشین شده خواسته شود.
 
موضوع نویسنده

-pariya-

سطح
6
 
[ مدیر ارشد بخش علوم و فناوری ]
پرسنل مدیریت
مدیر ارشد
مدیر تالار رمان
میکسر انجمن
مترجم ارشد انجمن
آموزگار انجمن
عضو تیم تعیین سطح ادبیات
Jul
27,305
58,490
مدال‌ها
11
برای حل این نوع مسائل از روی نمودار می توان انحلال پذیری را در هر دمایی به دست آورد و سپس با توجه به رابطه انحلال پذیری، مقدار حل شونده یا حلال را به دست آورد.

* با توجه به رابطه انحلال پذیری، مقدار حل شونده یا حلال را به دست آورد.
 
موضوع نویسنده

-pariya-

سطح
6
 
[ مدیر ارشد بخش علوم و فناوری ]
پرسنل مدیریت
مدیر ارشد
مدیر تالار رمان
میکسر انجمن
مترجم ارشد انجمن
آموزگار انجمن
عضو تیم تعیین سطح ادبیات
Jul
27,305
58,490
مدال‌ها
11
نکته: اگر در مسائلی جرم رسوب تولید شده ضمن کاهش دما (در نمودار های صعودی) و یا افزایش دما (در نمودار های نزولی) خواسته شود، می توان از کسرهای تناسبی زیر استفاده کرد.

14000703Pu24t7o342.png


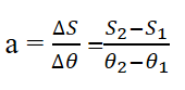
نکته: معادله ی خطی که رابطه ی بین انحلال پذیری و دما را نشان می دهد به شرح زیر است: S=aθ+b
 
موضوع نویسنده

-pariya-

سطح
6
 
[ مدیر ارشد بخش علوم و فناوری ]
پرسنل مدیریت
مدیر ارشد
مدیر تالار رمان
میکسر انجمن
مترجم ارشد انجمن
آموزگار انجمن
عضو تیم تعیین سطح ادبیات
Jul
27,305
58,490
مدال‌ها
11
در این معادله a و b نشان دهنده ی انحلال پذیری ماده در دمای صفر°C است.

14000703Pn4va4a261.png
 
موضوع نویسنده

-pariya-

سطح
6
 
[ مدیر ارشد بخش علوم و فناوری ]
پرسنل مدیریت
مدیر ارشد
مدیر تالار رمان
میکسر انجمن
مترجم ارشد انجمن
آموزگار انجمن
عضو تیم تعیین سطح ادبیات
Jul
27,305
58,490
مدال‌ها
11
اثر دما بر انحلال پذیری مواد

یکی از عوامل مؤثر بر انحلال پذیری مواد در آب، دما است. با توجه به شکل روبه رو:

14000703Pcn73ye568.png


 
موضوع نویسنده

-pariya-

سطح
6
 
[ مدیر ارشد بخش علوم و فناوری ]
پرسنل مدیریت
مدیر ارشد
مدیر تالار رمان
میکسر انجمن
مترجم ارشد انجمن
آموزگار انجمن
عضو تیم تعیین سطح ادبیات
Jul
27,305
58,490
مدال‌ها
11
نمودار انحلال پذیری برخی مواد مانند KCl، KNO3 ، NaNO3 برحسب دما، صعودی است؛ یعنی با افزایش دما، انحلال پذیری آنها افزایش می یابد.

نمودار انحلال پذیری برخی مواد (مانندLiSO4) برحسب دما نزولی است؛ یعنی با افزایش دما، انحلال پذیری آنها کم می شود.
 
موضوع نویسنده

-pariya-

سطح
6
 
[ مدیر ارشد بخش علوم و فناوری ]
پرسنل مدیریت
مدیر ارشد
مدیر تالار رمان
میکسر انجمن
مترجم ارشد انجمن
آموزگار انجمن
عضو تیم تعیین سطح ادبیات
Jul
27,305
58,490
مدال‌ها
11
نمودار انحلال پذیری برخی مواد مانند NaCl برحسب دما به صورت خطی تقریبا افقی است؛ یعنی تغییر دما تأثیر چندانی بر انحلال پذیری آنها ندارد.

* هر چه قدرمطلق شیب نمودار انحلال پذیری یک ماده بیشتر باشد، تأثیر دما بر انحلال پذیری آن ماده بیشتر است
 
موضوع نویسنده

-pariya-

سطح
6
 
[ مدیر ارشد بخش علوم و فناوری ]
پرسنل مدیریت
مدیر ارشد
مدیر تالار رمان
میکسر انجمن
مترجم ارشد انجمن
آموزگار انجمن
عضو تیم تعیین سطح ادبیات
Jul
27,305
58,490
مدال‌ها
11
مولکول های قطبی:

نحوۀ جهت گیری مولکول های آب در میدان الکتریکی نشان میدهد که اتم اکسیژن، سرِ منفی و اتمهای هیدروژن، سرِ مثبت مولکول را تشکیل می دهند. شیمیدان ها به مولکول هایی مانند آب که در میدان الکتریکی جهت گیری می کنند، مولکول های دوقطبی یا قطبی می گویند.

14000703P45y4ca22.png


م
 
موضوع نویسنده

-pariya-

سطح
6
 
[ مدیر ارشد بخش علوم و فناوری ]
پرسنل مدیریت
مدیر ارشد
مدیر تالار رمان
میکسر انجمن
مترجم ارشد انجمن
آموزگار انجمن
عضو تیم تعیین سطح ادبیات
Jul
27,305
58,490
مدال‌ها
11
مولکول های ناقطبی:

مولکول های سازندۀ ترکیب هایی مانند گاز اکسیژن O2، کربن دی اکسیدCO2 و متان CH4 در میدان الکتریکی جهت گیری نمی کنند چنین مولکول هایی، ناقطبی نامیده میشوند.

14000703P4k6x76134.png


راه های تشخیص مولکول های قطبی و ناقطبی

1- مولکول های دو اتمی که اتم های سازنده آن ها متفاوت هستند، قطبی می باشند. مانند: HF, CO, HCl
 
بالا پایین